锂电池放电曲线包含的信息
放电曲线包含的信息
放电曲线是指放电过程中,电池的电压、电流、容量等随时间的变化的曲线。充放电曲线中所包含的信息非常丰富,具体包括容量,能量,工作电压及电压平台,电极电势与荷电状态的关系等。放电测试时记录的主要数据就是电流和电压的时间演变,从这些基础数据可以获取很多参数,以下详细介绍放电曲线能够获取的参数。
(1)电压
锂离子电池放电测试中,电压参数主要包括电压平台、中值电压、平均电压、截止电压等。
平台电压是指电压变化最小而容量变化较大时对应的电压值,可以通过dQ/dV的峰值得出。
中值电压是电池容量一半时对应的电压值,对于平台比较明显的材料,如磷酸铁锂和钛酸锂等,中值电压就是平台电压。
平均电压是电压-容量曲线的有效面积(即电池放电能量)除以容量,计算公式为Ü = ∫U(t)*I(t)dt / ∫I(t)dt。
截止电压是是指电池放电时允许的最低电压,如果电压低于放电截止电压后继续放电,电池两端的电压会迅速下降,形成过度放电,过放电可能造成电极活性物质损伤,失去反应能力,使电池寿命缩短。
如第一部分所述,电池的电压与正负极材料的荷电状态及电极电势相关。
(2)容量和比容量
电池容量是指一定放电制度下(在一定的放电电流I,放电温度T,放电截止电压V条件),电池所放出的电量,表征电池储存能量的能力,单位是Ah或C。容量受很多引素的影响,如:放电电流、放电温度等。容量大小是由正负极中活性物质的数量多少来决定的。
理论容量:活性物质全部参加反应所给出的容量。
实际容量:在一定的放电制度下实际放出的容量。
额定容量:指电池在设计的放电条件下,电池保证给出的最低电量。
放电测试中,容量通过电流对时间积分计算,即C = ∫I(t)dt,恒流放电时电流恒定不变,C = ∫I(t)dt = It;恒电阻R放电时,C = ∫I(t)dt = (1/R)*∫U(t)dt ≈ (1/R)*Üt(Ü为放电平均电压,t为放电时间)。
比容量:为了对不同的电池进行比较,引入比容量概念。比容量是指单位质量或单位体积电极活性物质所给出的容量,称为质量比容量或体积比容量。通常计算方法为:比容量=电池首次放电容量 /(活性物质量*活性物质利用率)
影响电池容量的因素:
a.电池的放电电流:电流越大,输出的容量减少;
b.电池的放电温度:温度降低,输出容量减少;
c.电池的放电截止电压:是由电极材料以及电极反应本身的限定来设定的放电时一般为3 .0V或2 .75V。
d.电池的充放电次数:电池经过多次充放电后,由于电极材料的失效,电池的放电容量会相应减少。
e.电池的充电条件:充电倍率、温度、截止电压等影响充入电池的容量,从而决定放电容量。
电池容量的测定方法:
不同行业根据使用工况,具有不同的测试标准。对于3C产品用的锂离子电池,根据国标《GB/T18287-2000蜂窝电话用锂离子电池总规范》,电池的额定容量测试方法为:a)充电:0.2C5A充电;b)放电:0.2C5A放电;c)进行五个循环,其中有一次达到即判定为合格。
对于电动汽车行业,根据国标《GB/T 31486-2015 电动汽车用动力蓄电池电性能要求及试验方法》,电池的额定容量是指室温下电池以1I1(A)电流放电,达到终止电压时所放出的容量(Ah),其中I1为1小时率放电电流,其数值等于C1 (A)。测试方法为:
a)室温下,以1I1(A)电流恒流充电至企业规定的充电终止电压时转恒压充电,至充电终止电流降至0.05I1(A)时停止充电,充电后搁置1h。
b) 室温下,电池以1I1(A)电流放电,直到放电至企业技术条件中规定的放电终止电压;
c) 计量放电容量(以Ah计),计算放电比能量(以Wh/kg计);
d) 重复步骤a)-c)5次,当连续3次试验结果的极差小于额定容量的3%,可提前结束试验,取最后3次试验结果平均值。
(3)荷电状态SOC
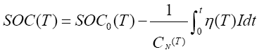
SOC(State of Charge )为荷电状态,表示在一定的放电倍率下,电池使用一段时间或长期搁置后剩余容量与其完全充电状态的容量的比值。“开路电压 + 安时积分”法利用开路电压法估算出电池初始状态荷电容量SOC0,然后利用安时积分法求得电池运行消耗的电量,消耗电量为放电电流与放电时间的乘积,则剩余电量等于初始电量与消耗电量的差值。开路电压与安时积分结合估算SOC 数学表达式为:

其中,CN 为额定容量;η为充放电效率;T为电池使用温度;I 为电池电流;t为电池放电时间。
DOD(Depth of Discharge )为放电深度,表示放电程度的一种量度,为放电容量与总放电容量的百分比。放电深度的高低和电池的寿命有很大的关系:放电深度越深,其寿命就越短。两者关系为SOC = 100%- DOD。
(4)能量和比能量
电池在一定条件下对外作功所能输出的电能叫做电池的能量,单位一般用wh表示。放电曲线中,能量的计算式为:W = ∫U(t)*I(t)dt。恒流放电时,W = I*∫U(t)dt = It*Ü(Ü为放电平均电压,t为放电时间)。
a.理论能量
电池的放电过程处于平衡状态,放电电压保持电动势(E)数值,且活性物质利用率为100%,在此条件下电池的输出能量为理论能量,即可逆电池在恒温恒压下所做的最大功。
b.实际能量
电池放电时实际输出的能量称为实际能量,电动汽车行业规定(《GB/T 31486-2015 电动汽车用动力蓄电池电性能要求及试验方法》),室温下蓄电池以1I1(A)电流放电,达到终止电压时所放出的能量(Wh),称额定能量。
c.比能量
单位质量和单位体积的电池所给出的能量,称质量比能量或体积比能量,也称能量密度。单位为wh/kg或wh/L。
















