燃料电池有哪些局限性?
链接:https://www.zhihu.com/question/23762278/answer/93530218
来源:知乎
著作权归作者所有。商业转载请联系作者获得授权,非商业转载请注明出处。
燃料电池的缺陷主要有以下几点:
1. 燃料电池本身成本高、寿命有待提高。
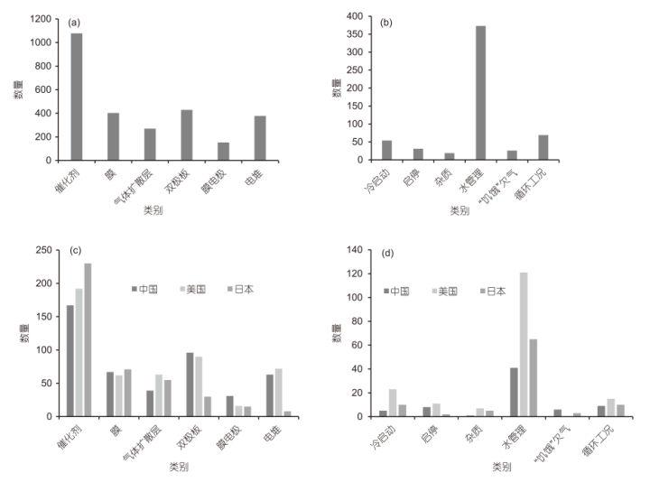
A)从DOE(Department of Energy)给出的报告来看,到2020年燃料电池系统要达到的目标是,成本:30 $/kWe;寿命:5000 h(针对PEMFC,以年产50万台计,寿命计算依据有效功率衰减10%),这相对于内燃机来说,目前是无优势的。从2015年DOE年度报告整理数据如下图 [1]。

C)所以当前国内外的研发重点是如何延长燃料电池的寿命、和降低燃料电池的成本。目前的研究重点主要有以下方面 [2]:
电极材料层次:催化剂活性的变化,膜的质子传导能力的变化;
电堆结构层次:散热、内阻、气体扩散和水汽交换等能力;
燃料电池系统:空气再循环技术、稳定工况控制,启停机策略等;
燃料电池动力系统:动力系统构型设计与优话,车辆动力性指标确定,DC/DC的控制逻辑,动力电池匹配等。
D)清华张剑波教授 [3]有一篇文章曾对当前车用燃料电池研发的生态进行过分析,其中燃料电池的研究文章数量越来越多(08年经济危机导致研发有下降趋势,后又增加)


2. 氢气成本:制氢、运氢、储氢
A)目前各国虽然都在大力推广燃料电池,但是氢气的来源问题目前并不是最主要的问题,而是氢气的储存与运输。从下图各国建设加氢站的目标来看,距离大规模商业化还比较远。这里不仅需要政府推动,还需要社会资本的投入与建设。

B)氢气有一个特点,就是:氢脆现象。当钢收到高温高压氢(300 ℃,30 MPa)的作用时,引起钢的金属组织发生化学变化,结果使钢的强度和塑性下降,断口成脆性断裂的现象。而由于续驶里程的要求,车载储氢容器内的压力有70 MPa。所以目前储氢罐材料为了避免氢脆现象的产生,成本都较高。
3. 实际使用也就是商业化程度不够,数据积累不多,验证也不多。
A)这点不用多说,因为目前燃料电池汽车商业化还是小范围,所以得到的数据不多,自然在数据采集、验证等等方面还不够多。
B)这里需要提一下丰田的燃料电池汽车——Mirai, 已经批量化生产,性能优异。但是年产量不过数千台(2017年,北美市场预计3000台)。
4. 生产不足、供应链不完整
5. 技术人才不多
6. 技术标准不全面
7.基础设施投资不足
以上四点,可能与技术性关联不大,就不多谈。
谈了燃料电池这么多的缺点,必然要对——未来车用能源趋势——燃料电池的优点也要涉及一下。简单来说,石油预计的使用年限不足百年,锂离子电池的容量也很难大幅提高,尽管燃料电池有这么多的缺点,却掩盖不了它的优越性。正因为有这么多的缺陷,所以世界各国都希望在这个领域多做研究,成为这个领域的领导者!
优点主要有以下几点(不分重要性排列)
1. 效率高
2. 减少温室气体排放
3. 减少石油消耗
4. 促进可再生能源发展——氢气的储存和运输
5. 可用燃料种类多
6. 减少空气污染
7. 可靠性高
8. 适用性广
9. 安静
10. 维护要求低
11. 促进经济增长和维持领导力的新机会
















