锂离子电池的电子导电性和离子导电性
在材料的表面产生Li2CO3和LiOH等副产物,引起界面阻抗的增加,同时更高的Ni含量也会导致正极/电解液界面稳定性变差,导致循环过程中副反应增多,引起三元材料界面的不可逆相变,导致可逆容量的损失和电荷交换阻抗的增加,这会严重的影响高镍材料的循环稳定性。
包覆是常用的提升界面稳定性的方法,一般常见的包覆手段主要是通过金属氧化物、磷酸盐化合物等在材料表面形成一层离子传导层,避免正极材料与电解液直接接触,也有通过在材料表面包覆一层无定形碳的手段提升材料的电子导电性,但是还没有一种方法能够同时提升了锂离子电池的电子导电性和离子导电性。近日广东工业大学的QingluFan(第一作者)、ZhicongShi(通讯作者)和YongYang(通讯作者)通过石墨烯/Li3PO4复配使得包覆层同时具有良好的离子导电性和电子导电性,不仅大幅改善了材料的循环稳定性,也使得材料的倍率性能得到了提升。

对于高镍材料而言由于表面的高活性,与空气中H2O和CO2反应产生的LiOH、Li2CO3等副产物几乎是无法避免的,针对高镍材料的这一特性QingluFan采用1%的H3PO4溶液对其进行腐蚀,在材料颗粒的表面形成一层具有良好离子电导率的Li3PO4层,然后再与石墨烯进行混合得到最终产物。
下图为不同材料的扫描电镜图片,从下图b看到经过H3PO4腐蚀处理后,NCM811材料表面形成了一层均匀分布的Li3PO4小颗粒,从下图c可以看到石墨烯混合后,石墨烯碎片成功的附着在NCM811材料的表面。通过透射电镜可以确认,经过H3PO4腐蚀后NCM811材料颗粒表面形成了一层厚度为10nm左右均匀的Li3PO4保护层。

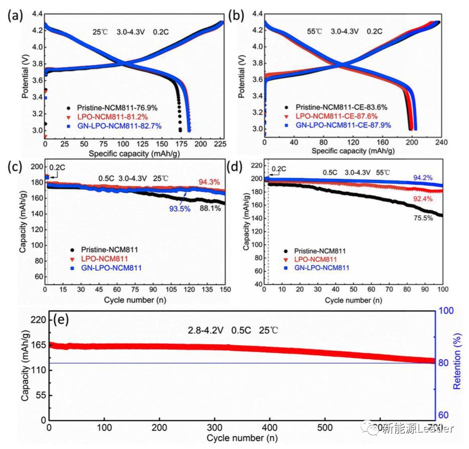
下图为经过处理的NCM811材料的电化学性能测试结果,从图中能够看到无论是在25℃还是在55℃下,有Li3PO4保护层的NCM811材料的首次充放电库伦效率都有了非常显著的提升,这主要是因为Li3PO4保护层抑制了电解液与活性物质的副反应的发生,而这同样有利于NCM811材料循环性能的提升。在3.0-4.3V之间以0.5C倍率进行循环150次后,没有保护层的材料容量保持率仅为88.1%,而有Li3PO4保护层的LPO-NCM811材料和GN-LPO-NCM811材料(同时含有石墨烯)的容量保持率则分别达到93.5%和94.3%。如果将循环温度提升到55℃,三种材料在循环性能上的差距将变的更加明显,从下图d能够看到在55℃下循环100次后,没有保护层的NCM811材料容量保持率仅为75.5%,而LPO-NCM811和GN-LPO-NCM811材料的容量保持率则分别提高到了92.1%和94.2%。

包覆层的存在常常会限制Li+的扩散,从而影响材料的倍率性能,下图为几种材料的倍率性能测试结果,可以看到倍率性能最好的为GN-LPO-NCM811材料,其次为LPO-NCM811材料,而倍率性能最差的反而是没有包覆的NCM811材料。GN-LPO-NCM811材料优异的倍率性能主要源自两个方面:首先是表面的Li3PO4保护层具有优异的离子电导率,从而促进了Li+的扩散;其次是材料中添加的石墨烯提供了优良的电子扩散通道,降低了颗粒之间的接触电阻,两方面共同作用显著改善了NCM811材料的倍率性能。
















