电压的变化主要受电池内阻和锂储量的影响
从小型电子产品和家用电器,到电动汽车,再到家庭和电网能源储存,锂离子电池已走进千家万户,成为世界能源储存市场的重要组成部分。在未来,锂电池会拥有更高的能量密度、更长的循环寿命和更长的待机寿命,甚至可以达到30年以上。然而,就目前而言,锂电池负极上的镀锂现象,即锂离子在负极表面上还原,形成金属层,而不是插入到宿主材料中,这对于锂离子电池来说是潜在的危险。如果电池的充电速度超过锂插入石墨负极的速度,就会发生锂沉积现象,沉积的锂膜可以是均匀的,也可以是随机分布的,并且沉积的锂可能具有平面、苔藓状或树枝状形态。一般低温、高倍率和高荷电状态下锂沉积的概率较高,并由于电池内阻的增加,引发镀锂现象的最大充电速率会随着电池的老化而降低。消费市场下的锂电池经常在低温下快速充电,因此必须找到策略延长锂离子电池的寿命而不引法镀锂,常见的解决方案包括适当的电解液添加剂和溶剂系统、适当的N/P比和电池有效设计。
析锂现象的原位检测工作一直以来都是重点照顾的对象,而作者J.R.Dahn教授领导的课题组,一直在做这方面的研究。在2013年,他们采用对充电电位的微小变化很敏感的等温微量热法,显示出与镀锂有关的热特征(J.Electrochem.Soc.,160,A588(2013).)。然后,在2015年,基于电池因锂金属沉积导致库仑效率(CE)降低这一特性,作者采用超高精度库仑法(UHPC),可以在给定温度下测定出不引发镀锂的最大充电电流。在本文中,作者使用基于标准检测的廉价设备,通过分析商业锂电池平均充电和放电电压,得出移位电压SVC的值,通过验证SVC在循环中的变化,判断负极镀锂开始发生的时间。
二、研究用电池的详细信息
电池选择:402035尺寸的软包电池模具从中国株洲的利丰公司购买;正极为LiNi0.5Mn0.3Co0.2O2(NMC532);正极极片的配比为活性材料:导电剂:PVDF粘结剂=94:4:2;正极负载为21.1mg/cm2,密度为3.5g/cm3;负极采用人造石墨,载量为13.6mg/cm2,密度为1.55g/cm3;负极极片的配比为活性材料:导电炭黑:羧甲基纤维素(CMC):斯特林-丁二烯(SBR)=95.4:1.3:1.1:2.2;全电池最大工作电压为4.5V,额定容量为240mAh。
电解液:所有电解液中均含有1.2M六氟磷酸锂(LiPF6),溶剂采用碳酸乙烯酯:碳酸乙基甲酯3:7w:w(EC:EMC)与乙酸甲酯(MA)的混合物,电解液添加剂为碳酸氟乙烯酯(FEC),硫酸乙烯(DTD)。
三、判定方法的概念及相关解释

上图1为全电池的首次电位-容量(V-Q)曲线,从图中可以看出正、负电极对全电池V-Q曲线形状的影响。一般来说,全电池的电位是正电极电位和负电极电位之间的差值。在本文中,全电池的电位最高不超过4.3V(UCV),最低不低于3.0V(LCV),为了保持恒定的截止电位,UCV和LCV的位置会相对于容量轴移动,移动的位置取决于电池阻抗增长、锂储量损失和活性材料损失等多个因素。
图2

在上图2中,作者分析了电池内阻增大和锂储量减少对平均电压的影响。由阻抗增加引起的平均电压变化称为电阻电压RV;由于锂储量损失引起的变化被称为移位电压SV。平均电压是全电池曲线下的面积,或正负电极曲线之间的面积,由总容量归一化得到,阴影框可以确认面积值。从左图的几个图中可以看出,增加内阻会增加平均充电电压,降低平均放电电压,R值显示为Rred<Rblue<Rgreen,黑色虚线表示没有内阻的部分。在右侧的图中,锂储量损失将同时增加平均充电电压和放电电压,正极曲线用蓝色表示,负极用红色表示。从图d-g中,可以看出,容量保持不变,直到阳极容量在阴极右侧,但曲线之间的面积减小,负极电位位移分别为0、1、2和4个容量单位。
平均电压的计算公式为:
在上式中,Vav表示平均电压,QT为总循环容量,积分为全电池V-Q曲线下的面积,可以正极曲线和负极曲线之间的差值得到。
一个理想的锂离子电池在其使用寿命中应具有恒定的平均充电电压(Vav,c)和恒定的平均放电电压(Vav,d),但是,通常在长时间循环后,Vav,c增加,Vav,d下降。
Vav,c和Vav,d的镜像关系表明,阻抗增长是平均电压变化中最重要的参数。这一点也可以通过参数ΔV,即平均充电电压和平均放电电压之间的差值来反映。预计,随着SEI层变厚,电池阻抗也随之增加。在上图A,B,C中,作者采用欧姆阻抗校正分析了阻抗对电压的变化,
上式中,η为外加电流引起的过电压,I为外加电流,R为内阻,IR的大小为红色<蓝色<绿色。
在图2C中,当电压固定(3and8a.u.)时,阻抗增加限制了充电开始和结束附近的可用容量,可以看出,容量从9.9降至9.2,再降至8.0,均是因为阻抗增加所导致。此外,在图2中,任何单个循环的充电容量(图A)和放电容量(图B)几乎相同,但V-Q曲线下的区域明显不同——充电平均电压始终大于放电平均电压。同时,增加IR会增加平均充电电压,降低平均放电电压,并降低总容量。

图3
上图3为对于实际数据收集的SV:RV曲线分析,图A的黑色实线为平均电压,可以看到,平均充电电压为3.81V,平均放电电压为3.71V,虚线表示平均电压不变的理想电池。此外,SV(图A)和RV(图B)随着循环次数增加而增加,随着放电容量开始快速下降,SV开始快速增加。在文章后面的分析中,RV和SV都被归零到第20次循环,已归零的值称为移位电压变化SVC和电阻电压变化RVC,RVC的初始值(归零前)由ΔV来获得。
四、利用SVC:RVC分析准确判断负极镀锂发生的时间和位置
图4
从上图4中,作者以四种电池(根据添加剂种类和浓度的不同来划分)为研究对象,通过SVC:RVC分析方法,准确得到了负极镀锂的发生时间和发生位置。左图显示了1200次循环后四个电池的绝对容量损失、SVC和RVC,其中每个电池的初始容量均接近220mAh。可以看出,绿色三角形代表的FEC-DTD_40MA离“镀锂现象”最远,它的容量损失小于5mAh(2.4%),阻抗变化最小,这说明使用这种类型的添加对于抑制金属锂在负极表面沉积最为有效。黑色十字表示的FEC没有“镀锂现象”,虽然它显示出20mV的阻抗增长,但其在容量保持方面类似于FEC-DTD_40MA。蓝色圆圈代表的FEC_20MA处于“镀锂现象”边缘,其阻抗增长很高,虽然容量损失仍处于合理的~5%,但似乎开始加速。红色菱形代表的FEC_40MA已处于“镀锂现象”中,在前900个周期中,容量损失了8mAh,接下来的300个周期中又额外损失了27mAh。从上图中可以看出,除了FEC_40MA之外,所有电池的SVC在850圈之前看起来都是相同的,但是一旦过了850循环之后,其垂直虚线表明SVC急剧增加与镀锂有很好的相关性。

图5
上图5为不同电池在循环中,容量损失、SVC、RVC等参数的变化,图左列循环到4.2V,右列循环到4.3V,在4.2V下测试的电池的初始容量接近210mAh,在4.3V下测试的电池的初始容量接近225mAh。蓝色十字表示FEC,蓝色三角形表示FEC-DTD,用颜色表示MA含量:蓝色为无MA,红色为20MA,黑色为40MA。从图上看,循环至4.2V的电池比循环至4.3V的电池具有更好的容量保持能力和更小的阻抗增长,且较高的MA含量导致电池在长期使用中急剧衰减,而DTD可显著降低阻抗增长和延长寿命。

图6
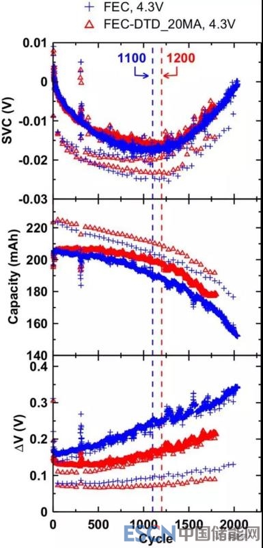
上图6为标准长期循环下的ΔV、容量和SVC参数变化曲线,可以看出,对于FEC和FEC-DTD_20MA电池而言,SVC在1100到1200圈之间有明显上升,表示着镀锂现象的发生。SVC的变化清楚地确定了镀锂的开始时间的循环计数,是一个非常重要的方法。
五、小结
在本文中,作者通过分析商业锂电池平均充电和放电电压,得出移位电压SVC的值,通过验证SVC在循环中的变化,判断出负极镀锂开始发生的时间。在分析锂电池平均充电和放电电压时,作者发现电压的变化主要受电池内阻和锂储量的影响,其中增加内阻会增加平均充电电压,降低平均放电电压;而锂储量损失将同时增加平均充电电压和放电电压。












