锂电池极片设计的影响
极片设计的影响:
极片厚度:大电流放电的情况下,活性物质反应速度很快,要求锂离子能在材料中迅速的嵌入、脱出,若是极片较厚,锂离子扩散的路径增加,极片厚度方向会产生很大的锂离子浓度梯度。
压实密度:极片的压实密度较大,孔隙变得更小,则极片厚度方向锂离子运动的路径更长。另外,压实密度过大,材料与电解液之间接触面积减小,电极反应场所减少,电池内阻也会增大。
(5)SEI膜的影响:SEI 膜的形成增加了电极/电解液界面的电阻,造成电压滞后即极化。
1.4 电池的工作电压
工作电压又称端电压,是指电池在工作状态下即电路中有电流流过时电池正负极之间的电势差。在电池放电工作状态下,当电流流过电池内部时,需克服电池的内阻所造成阻力,会造成欧姆压降和电极极化,故工作电压总是低于开路电压,充电时则与之相反,端电压总是高于开路电压。即极化的结果使电池放电时端电压低于电池的电动势,电池充电时,电池的端电压高于电池的电动势。
由于极化现象的存在,会导致电池在充放电过程中瞬时电压与实际电压会产生一定的偏差。充电时,瞬时电压略高于实际电压,充电结束后极化消失,电压回落;放电时,瞬时电压略低于实际电压,放电结束后极化消失,电压回升。

图4 电池电压的组成及其与工作电流的关系
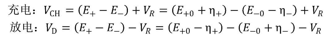
综合以上所述,电池端电压的组成如图4所示,表达式为:

其中,E+、E—分别表示正、负极的电势,E+0、E—0分别表示正、负极的平衡电极电势,VR表示欧姆极化电压,η+、η—分别表示正、负极的过电势。
















