锂离子电池内短路出现问题,怎么补救呢、
针刺实验是目前模拟锂离子电池内短路最常用的一种手段,通过将钢针插入到锂离子电池内部,引起正负极之间的短路,在局部产生大量的热量,从而实现对锂离子电池内短路的模拟。
由于锂离子电池的密封结构设计,使得我们难以直接对锂离子电池针刺过程进行观测,目前多数的研究成果是通过监测锂离子在针刺过程中电压、外表温度等信息获得,缺少直接的针刺过程中电池内部结构变化数据。近日,日本早稻田大学的TokihikoYokoshima(第一作者,通讯作者)和TetsuyaOsaka(通讯作者)通过高速X射线拍照的方式对锂离子电池在针刺过程中电池内部结构的变化进行了分析。
实验中的电池正极材料为LCO,负极材料为石墨,电解液的溶剂为1:1的碳酸乙烯酯和碳酸二乙酯的混合物,溶剂盐为1mol/L的LiPF6,电池采用的隔膜来自宇部兴产的UP3085,为了满足X射线穿透的需求,TokihikoYokoshima对电极结构也进行了特殊设计,正极尺寸为64mm×6mm,负极尺寸为74mm×10mm,电池包含3层负极,4层正极,电池的容量为20mAh,同时为了模拟大容量电池,作者还制作了一个800mAh的软包电池,通过将一个20mAh的电池与之并联形成一个820mAh的电池(如下图所示)。

针刺实验中采用的钢针为不锈钢材质,直径1mm,锥角为30度,穿刺速度为10mm/s,下图为820mAh电池在针刺过程中的温度和电压的变化曲线,从下图a能够看到随着针刺的开始,电池的电压迅速从4.2V下降到2.0V,同时电池的温度从3s开始快速升高,最终电池发生热失控,并伴随着大量的烟雾的产生。值得注意的是将20mAh电池和800mAh电池并联起来的Ni极耳在针刺开始1s后就已经被加热到红色,随后开始泄漏气体。电池针刺后25s左右电压基本停止下降,表明此时电池的电量基本上完全放光。

下图为通过X射线成像技术记录的在针刺过程中电池电极的变化(500帧/秒),从下图能够看到在钢针接触到2、4、6层电极(均为负极)时电池的电压都出现了明显的降低,总体来看随着钢针穿刺的电极层的层数增加,电池的电压也会持续降低,这主要是因为随着穿刺深度的增加,短路电阻也在持续降低,从而导致电池的电压快速下降。同时我们也能够注意到针刺过程中气体产生是从大约2秒之后开始的,这主要是因为气体产生主要是由于短路产生的焦耳热,需要一定时间的积累。

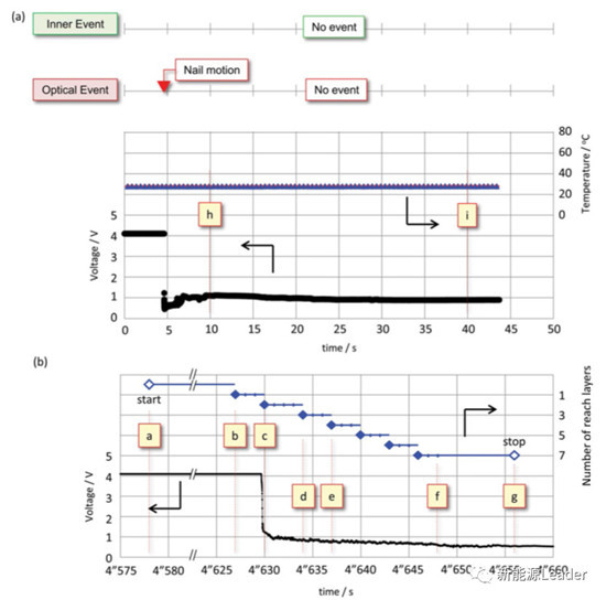
下图为20mAh电池在短路过程中温度和电压变化,从下图a可以看到在针刺开始后电池的电压从4.2V快速下降到0.6V,随后电压出现缓慢的升高,在第7s时电池的电压恢复到1V,然后经过一个轻微的下降后稳定下来。但是电池的温度在整个过程中并未见到明显的提升,同时电池也没有产气,电池也没有发生热失控,这主要是因为电池的容量较低,因此内短路过程中产生的焦耳热不足以引发连续的自发放热反应。

下图为采用X射线成像技术拍摄的20mAh电池在针刺过程中电池内部结构的变化(1000帧/秒),能够看到与820mAh电池类似,当钢针接触到第2层(负极)时(第2秒)电池电压开始出现突降,随着钢针穿透层数的增加电压持续降低。

下图为820mAh电池在针刺实验前后的CT照片,从图中能够看到电池的正极在针刺后已经发生了破坏,正极活性物质从Al箔上发生了剥离。

下图为20mAh电池在针刺前后的CT图片,从图中能够看到经过针刺后电极结构基本上没有发生明显的改变,这也表明820mAh电池在针刺后的电极结构破坏并非由于针刺过程引起的,而是因为针刺导致的短路产生的高温引起电解液的快速沸腾,从而导致了活性物质从箔材表面剥离。此外,我们对比每一层电极针刺孔直径的大小(如下表所示)可以发现并是不每一层电极的针刺孔都是相同的,第2层电极的针刺孔最大,表明在此处短路产生的热量最多。

TokihikoYokoshima的工作让我们通过更为直接的方法观测到了锂离子电池在针刺过程中内部结构的变化,通过高速X射线成像技术我们成功的观测到了短路的发生和气体产生两个过程,通过解剖发现锂离子电池不同层之间的短路现象并不相同,特别是第1层和第2层之间短路电流非常大,因此第二层电极的破坏也更为严重。
















