锂离子电池老化方面是不是跟内阻和直流内阻有什么关系吗?
交流内阻顾名思义就是给就是通过在电池正负极注入正弦波电流信号I=Imaxsin(2πft),同时通过另外两端在电池正负极检测得到正弦波电压信号U=Umaxsin(2πft+ψ),进而可以推导出电池的交流阻抗,具体推导过程我估计也讲不清楚,因此咱们偷懒直接看结果。
图2是电化学阻抗谱的一种表现方式,叫作奈奎斯特图,图中大概1kHz左右测得的电阻一般被认为是电池的欧姆电阻,1kHz~1Hz左右的半圆弧代表的是电池的Rct和Cdl,1Hz~mHz代表的是电池的扩散电阻。通常文献里面会这样表述:实轴的截距代表欧姆阻抗,是由电子与离子迁移阻力产生的;半圆是由电解质与电极材料界面上的电荷转移产生的;低频部分是由锂离子在电解质中的扩散和在正负极材料中的扩散产生的。
电池直流内阻和交流内阻的通俗解释

图2奈奎斯特图(Nyquistplot)
直流内阻顾名思义就是给电池施加一个直流信号来测试电池内阻,一般通过HPPC(HybridPulsePowerCharacterization)测试计算得到,如图3所示,先施加一个30s的1C放电脉冲,搁置40s,再施加一个10s的0.75C充电脉冲。放电内阻等于放电压降与放电电流的商(图4),充电内阻等于充电压升与充电电流的商(图5)。

图3HPPC电流时间曲线

图4放电内阻计算公式

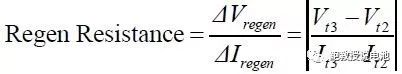
图5充电内阻计算公式
那么交流内阻和直流内阻到底有什么联系呢?0.1Hz换算一下就是10s,如果再把正弦波电流换算成方波电流,那么此时的交流内阻就变成了直流内阻,二者就这样勾搭上了,非常像高数或者物理中各种定理在边界条件时的推导和转换关系。
另外,其实电池阻抗在判断锂离子电池老化方面是非常有用的,因为锂离子电池服役过程中欧姆内阻的增长比较有限,但是随着SEI膜的增厚,以及不可逆物质在电极活性物质表面沉积,导致电荷转移阻抗和扩散阻抗不断增大,进而可以定性评估电池的老化情况。
现实情况是kHz~mHz的扫频测试对设备的要求、对测试环境的要求太高,一般用1kHz来代替,从本质上来说1kHz测试得到的主要是欧姆电阻,是不能很好的反应电池的老化的,甚至还不如直流内阻更适合用于电池老化的评估。
















